纳赫兹引力波揭示暗物质和早期宇宙过冷相变
美国LIGO天文台于2015年发现引力波并于2017年获得诺奖后,引力波探测和理论研究在国际上掀起热潮,中国天眼FAST和欧美的脉冲星测时阵列研究团队今年都发布了纳赫兹引力波(频率为10的负9次方赫兹的极低频时空扰动)存在的关键性证据,纳赫兹引力波的来源可能是宇宙中超大质量黑洞的缠绕合并,也可能是宇宙的早期一级相变所引发。
理论物理所研究员杨金民与博士生肖洋、郑州大学青年教师张阳博士合作,提出纳赫兹引力波可能源于希格斯粒子和暗物质相互作用引发的早期宇宙过冷电弱一级相变,从而把引力波和希格斯粒子以及神秘的暗物质联系在一起,共同揭示宇宙婴儿期历史。近日,相关研究成果发表于Science Bulletin 68 (2023) 3158。

按照宇宙学的标准理论,宇宙起源于一次大爆炸,其早期经历了从希格斯场电弱真空值为零(所有粒子都没有质量)到非零(粒子开始有质量)的转变。这个转变开始的温度大约为O(100) GeV。如果这个转变以一阶相变的形式发生,这就是所谓的电弱一阶相变。水凝结成冰就是日常生活中常见的一种一阶相变。如果水足够的纯净, 那么即使低于零摄氏度,水也会由于缺少凝结核导致无法结冰。此时只需要给予一点扰动,冰块就会充斥整个容器。这种特殊的相变就叫做过冷相变。类似的,宇宙相变也可以经历这样的过程:即使温度低于O(100)GeV, 整个宇宙仍然是电弱真空期望值为零的, 直到某一时刻后,随机涨落会使得希格斯场局域地获得非零期望值。此时由于希格斯场非零期望值部分的压强大于零期望值部分的压强,前者将会像一个向外扩张的泡泡一般,逐渐充满整个宇宙。如果此时相变发生的温度能够低至1GeV左右,那么这种过冷的一级电弱相变所引发的引力波的频率就可以低至纳赫兹量级。
但是按照基本粒子物理的标准模型,上述一级电弱相变是无法实现的[上世纪八十年代Edward Witten的文章Nucl.Phys.B177(1981)477表明,若标准模型的希格斯粒子质量在75GeV以下,那么标准模型就可以实现一级电弱相变。但是2012年LHC对撞机发现的标准模型希格斯质量是125GeV,从而使得标准模型不可能实现这个一级电弱相变]。实际上,标准模型中的希格斯场从真空值为零到非零的转换是平滑过渡(smooth crossover)。因此,实现这个一级相变过程需要超出标准模型的希格斯部分的扩充,也就是说产生纳赫兹引力波的一级过冷电弱相变可能预示着超出标准模型的希格斯新物理的存在。此外,电弱重子数产生(解释宇宙中正反物质不对称的现象)也要求强一阶电弱相变,因而也要求扩充标准模型的希格斯部分。
杨金民研究员等人的工作研究了一种超出标准模型的含有暗物质的希格斯扩充的理论框架所产生的过冷一级相变以及引发的纳赫兹引力波。相比于标准模型,这个框架只扩充了希格斯部分,是最简单最经济的含有暗物质的新物理模型。它额外引入了一个单态希格斯粒子,并施加分离的
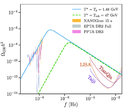
文章主要结果如下图所示,这个图中的蓝色实线对应于过冷相变产生的引力波谱,若考虑到相变所释放的能量所可能导致的重加热(reheat)现象,引力波谱则向右下方移至绿色虚线。从这图可以看到,这一理论所预言的引力波的极低频纳赫兹部分可以被正在进行的中国天眼和欧美的脉冲星测时阵列所检验,而高频部分的引力波可以被未来的引力波探测实验(中国的天琴和太极以及欧洲的LISA)所检验。此外,这一研究还揭示了如此过冷的低温相变发生在暗物质冻结之后,相变所释放的能量导致的熵增加对暗物质丰度可能会有显著的稀释效应,这使得暗物质满足目前的观测限制。

图注:标量暗物质模型中由电弱相变泡泡碰撞产生的随机引力波背景的频谱,与脉冲星定时阵列观测结果(小提琴图)和未来的各个探测器的探测能力(点线)对比。其中蓝色实线参考温度为1.48 GeV,绿色虚线参考温度为47 GeV。
至此,这一研究把纳赫兹引力波和神秘的暗物质以及宇宙婴儿期历史联系在一起了,预示着可以通过引力波来探知神秘的暗物质和神秘的早期宇宙史。
此研究得到了国家自然科学基金项目和即刻登录beplay官网享受新玩法! 彭桓武理论物理创新研究中心的资助。
原文链接:
https://doi.org/10.1016/j.scib.2023.11.025